頻率響應
當使用較大幅度的正弦波時,頻率響應也對極限斜率非常敏感。
注:為什么正弦波對斜坡信號的斜率非常敏感?因為當斜率很小時,跟隨較慢,此時正弦波就會變為一個幅值更低的三角波。波形就會失真。
與階躍響應一樣,較小的信號響應也代表了真實的動態效果:
對于控制環路分析,最重要的小信號頻率響應參數如下:
?-3db頻率
?-45°相頻率(這是頻率的轉折點)
?-90°相頻
?峰值頻率
?dB過沖(諧振)
對于大信號;
?-3dB極限頻率
?-90°相位極限頻率
?正弦振幅

注意:
1. -3db點是輸出響應下降到滿輸出的71%的位置;即性能開始下降的點。-3dB頻率通常也稱為系統帶寬。
2.在對數標度上繪制dB(縱坐標)和頻率(橫坐標),可以看出衰減的坐標點。從圖中可以明顯看出大信號輸入下,幅值以-20dB /十倍頻程的斜率(這意味著10倍頻率響應的1/10)衰減,也可以明顯觀察到相位響應中的尖銳“拐點”。
3.一般情況下,伺服閥樣本中顯示100%的大信號響應和25%或40%的響應,可以據此推測出小信號輸入下的性能。但是,有時候大信號輸入下的響應會受到上升斜率的限制。此時就很難推測出真正情況下的系統動態。
4.小信號階躍響應與頻率響應之間存在關系;例如,階躍響應中的超調百分比與頻率響應中的dB過沖有關。這是分別在時域和頻域下的不同表示方法。
5.斜坡受限的頻率響應波形往往更接近于三角形,而不是正弦波。在某些應用中(例如材料測試),這可能是不可接受的;應使用斜率比較大的伺服閥。
這個地方估計很多人很疑惑,為什么閥的響應慢,輸出會由正弦波變為三角波?因為在高頻下,系統的周期很短,在正弦信號下,輸出信號從小逐漸上升,還沒來得及上升到正弦波的頂部(四分之一周期),此時響應是三角波的上升沿,就開始下降了(二分之一周期內),變成了三角波的下降沿。
時域和頻域的計算:
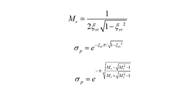
由于伺服閥的響應遠遠高于負載的響應,此時伺服閥可以等效為二階震蕩環節。根據自動控制原理,二階系統的諧振峰值Mr與超調量σp之間的關系如下:

從上面式子可以看出,諧振峰值Mr與超調量σp只與阻尼系數ζsv有關。此處ζsv為伺服閥等效阻尼系數。只要測得幅頻特性曲線或者階躍響應曲線中的一條,便可以確定阻尼系數,從而計算出另外一個數值。需要注意的是,只有阻尼系數小于0.707時(此時諧振峰值為1db)上面關系式菜成立。當阻尼系數大于0.707時,諧振峰值和超調量之間的關系便不復存在。在設計伺服閥時,為了避免諧振和超調,阻尼系數理論數值一般取0.75。
上升時間與幅頻寬之間的關系
上升時間tp與幅頻寬ωb之間的關系為:tp=0.35/ωb
Copyright ?山東森特克液壓有限公司 | 螺紋插裝閥&二通插裝閥應用專家 | 致力于插裝閥集成系統優訂制&液壓伺服控制系統,Inc.All rights reserved. 魯ICP備16019183號 Powered by CmsEasy